IP-адресация

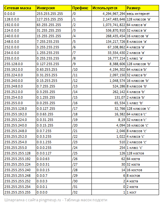
В этом разделе приведены таблицы масок подсети.

Таблица 1

Таблица 1 по IP-адресации

Таблица 2

Таблица 2 по IP-адресации